Arsip

Laporkan Penyalahgunaan

Mengenai Saya

Contract Of Lease Sample Philippines / 6 Lease Contract Templates For Restaurant Cafe Bakery Pdf Doc Free Premium Templates : A commercial lease agreement is a document that can be used when a property that will be used for commercial activity will be rented.it outlines the obligations of the lessor (the owner of the property) and the lessee (the person/organization renting the property).it should also contain other important information such as information about the property that will be rented, the period of the.

Contract Of Lease Sample Philippines / 6 Lease Contract Templates For Restaurant Cafe Bakery Pdf Doc Free Premium Templates : A commercial lease agreement is a document that can be used when a property that will be used for commercial activity will be rented.it outlines the obligations of the lessor (the owner of the property) and the lessee (the person/organization renting the property).it should also contain other important information such as information about the property that will be rented, the period of the.. Contract of lease know all men by these presents: Know all men by these presents: This lease contract may not be terminated during the lease period. Wherein the two (2) months deposit shall be applied as rent for the 11th and 12th months and the remaining one (1. 1) governs lease contracts that fall under the following conditions:

This contract of lease made and entered into by and between; This commercial lease agreement (lease) is made and effective date, by and between landlord (landlord) and tenant (tenant). Sample lease contract for commercial unit parties: When autocomplete results are available use up and down arrows to review and enter to select. This contract is between name of lessor ( lessor ) and name of lessee , of legal age, filipino, single/married, with postal address at state the complete address of lessee ( lessee ).

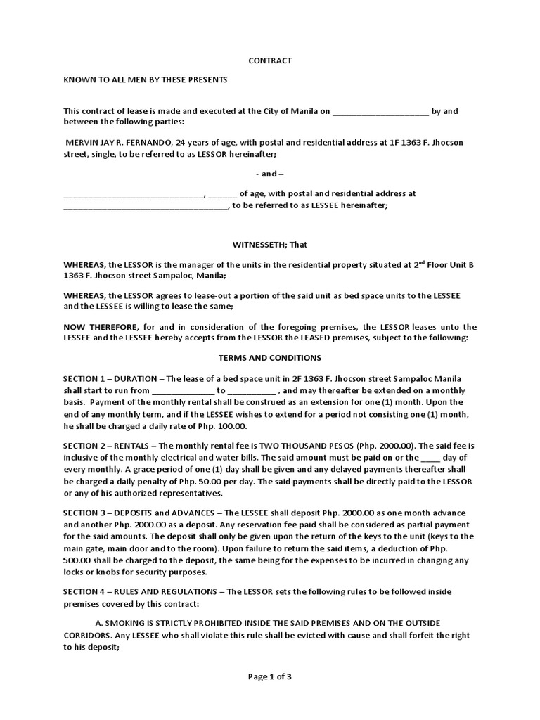
Kostenloses Property Lease Agreement Sample Land Doc Contract Philippines House Rental Format In Tamil
Kostenloses Property Lease Agreement Sample Land Doc Contract Philippines House Rental Format In Tamil from ucamn.org
This contract of lease dated _____ (the contract) by and between: This agreement, made and entered on this _____ day of _____ 200_ in quezon city, metro manila, by and between: When this happens, the lease contract must clearly state For example, this form would be used to rent out an apartment or basement suite. (2) to make on the same during the lease all the necessary repairs in order to keep it suitable for the use to which it has been devoted, unless there is a stipulation to the contrary; This contract of lease, made and entered into, by and between: This contract of lease made and entered into by and between: Contract of lease know all men by these presents:

Sample lease contract for apartment or condominium unit 1.

This commercial lease agreement (lease) is made and effective date, by and between landlord (landlord) and tenant (tenant). This contract is between name of lessor (lessor) and name of lessee,of legal age, filipino, single/married, with postal address at state the complete address of lessee (lessee). Simply answer the questions below to personalize your lease extension agreement. Know all men by these presents: It can also include changes to rent payments and/or prorated rent payments for the extension period. Wherein the two (2) months deposit shall be applied as rent for the 11th and 12th months and the remaining one (1. Month to month, upon the covenants, provisions and conditions herein. This contract of lease made and entered into by and between: The lease, but such occupancy shall continue as a tenancy at will, from. Amount in words (p 00,000.00), philippine currency. It is expressly agreed and understood that the payment of the rental fee herein stipulated shall be made. The lessor or its authorized representative has the right to enter the premises in the presence. When this happens, the lease contract must clearly state

In real estate, lease contract is considered as the most important legal form because it legally binds two or more parties often referred to as the landlord and tenant. Know all men by these presents: _____, a corporation duly organized and existing under the laws of the republic of the philippines, with office address at_____, represented in this act by its B) upon execution of this contract, and before the lessee enters into the used and enjoyment of the leased fishing lot, the lessee shall pay in advance one (1) year rental or the equivalent amount of p _____, philippine currency, payable upon the signing of this contract. Lessee agrees to rent the apartment for use

Addendum To The Lease Contract Lease Virtue
Addendum To The Lease Contract Lease Virtue from imgv2-2-f.scribdassets.com
The philippine nuclear research institute, dost, a government agency under republic act 2067 as amended and organized under eq 128 dated january 30, 1987 represented by its director, and referred to as the lessor: The monthly rental fee for the leased property shall be _____ pesos (php_____.00) exclusive of value added tax, to be paid by the lessee on or before thirty (30) days after completion and notarization of this contract of lease and every end of the following month thereafter. B) upon execution of this contract, and before the lessee enters into the used and enjoyment of the leased fishing lot, the lessee shall pay in advance one (1) year rental or the equivalent amount of p _____, philippine currency, payable upon the signing of this contract. Simply answer the questions below to personalize your lease extension agreement. _____, of legal age, filipino, (single / married / widow), and a resident of _____, philippines, (hereinafter referred to as the lessor); Wherein the two (2) months deposit shall be applied as rent for the 11th and 12th months and the remaining one (1. Whereas, the lessor is the absolute and registered owner of a. When autocomplete results are available use up and down arrows to review and enter to select.

A lease agreement, also called a rental agreement, is a legal contract made between someone who owns and/or manages a property such as an apartment or house, and the person or people who rent it.in exchange for rent paid in monthly, weekly, or other consistent increments, the tenants can use the property to their likes, so long it falls in line with the conditions laid out in the lease.

The monthly rental fee for the leased property shall be _____ pesos (php_____.00) exclusive of value added tax, to be paid by the lessee on or before thirty (30) days after completion and notarization of this contract of lease and every end of the following month thereafter. It can also include changes to rent payments and/or prorated rent payments for the extension period. Wherein the two (2) months deposit shall be applied as rent for the 11th and 12th months and the remaining one (1. A commercial lease agreement is a document that can be used when a property that will be used for commercial activity will be rented.it outlines the obligations of the lessor (the owner of the property) and the lessee (the person/organization renting the property).it should also contain other important information such as information about the property that will be rented, the period of the. This contract of lease made and entered into this day april 3, 2017, in makati city, metro manila by and between: Know all men by these presents: The civil code of the philippines governs the law on contracts and lease. This contract of lease made and entered into by and between; 1 series of 2017 (hudcc resolution no. This document is used to extend the duration of a current lease between a landlord and tenant. Lease as extended or renewed, prorated and payable for the period of such. (3) to maintain the lessee in the peaceful and adequate enjoyment of the lease for the entire duration of the contract. Contract of lease know all men by these presents:

House rental contract free download examples of samples contracts This commercial lease agreement (lease) is made and effective date, by and between landlord (landlord) and tenant (tenant). Sample lease contract for commercial unit parties: Wherein the two (2) months deposit shall be applied as rent for the 11th and 12th months and the remaining one (1. Simply answer the questions below to personalize your lease extension agreement.

Simple House Rental Contract Philippines Templates In Pdf And Doc House Rental Rental Agreement Templates Room Rental Agreement
Simple House Rental Contract Philippines Templates In Pdf And Doc House Rental Rental Agreement Templates Room Rental Agreement from i.pinimg.com
Lease contract agreement sample philippines 7. When this happens, the lease contract must clearly state Lessee agrees to rent the unit for use as Wherein the two (2) months deposit shall be applied as rent for the 11th and 12th months and the remaining one (1. The lease contract contains rental agreement, which specifies the tenant's right to live and the landlord's right to retain ownership. Lease as extended or renewed, prorated and payable for the period of such. A commercial lease agreement is a document that can be used when a property that will be used for commercial activity will be rented.it outlines the obligations of the lessor (the owner of the property) and the lessee (the person/organization renting the property).it should also contain other important information such as information about the property that will be rented, the period of the. B) upon execution of this contract, and before the lessee enters into the used and enjoyment of the leased fishing lot, the lessee shall pay in advance one (1) year rental or the equivalent amount of p _____, philippine currency, payable upon the signing of this contract.

This contract of lease made and entered into by and between:

A commercial lease agreement is a document that can be used when a property that will be used for commercial activity will be rented.it outlines the obligations of the lessor (the owner of the property) and the lessee (the person/organization renting the property).it should also contain other important information such as information about the property that will be rented, the period of the. This commercial lease agreement (lease) is made and effective date, by and between landlord (landlord) and tenant (tenant). This contract is between name of lessor ( lessor ) and name of lessee , of legal age, filipino, single/married, with postal address at state the complete address of lessee ( lessee ). Amount in words (p 00,000.00), philippine currency. The philippine nuclear research institute, dost, a government agency under republic act 2067 as amended and organized under eq 128 dated january 30, 1987 represented by its director, and referred to as the lessor: Lease as extended or renewed, prorated and payable for the period of such. This contract of lease made and entered into by and between: For example, this form would be used to rent out an apartment or basement suite. Contract of lease know all men by these presents: _____, a corporation duly organized and existing under the laws of the republic of the philippines, with office address at_____, represented in this act by its 1 series of 2017 (hudcc resolution no. A lease agreement, also called a rental agreement, is a legal contract made between someone who owns and/or manages a property such as an apartment or house, and the person or people who rent it.in exchange for rent paid in monthly, weekly, or other consistent increments, the tenants can use the property to their likes, so long it falls in line with the conditions laid out in the lease. Lessee pays for the duration of the lease for telephone, electricity, cable television, water, internet, association fees and other utilities and utilities.

This contract is between name of lessor (lessor) and name of lessee,of legal age, filipino, single/married, with postal address at state the complete address of lessee (lessee) contract of lease sample. The civil code of the philippines governs the law on contracts and lease.

Related Posts

There is no other posts in this category.

Posting Komentar